牛顿挖了个坑,被一位性格孤僻的富家公子填上了

发布者: admin| 查看: 15| 评论: 0



这事得从两百多年前说起。

当时有个英国人叫亨利·卡文迪什(Henry Cavendish),家里很有钱但性格很怪。怪到什么程度呢?他几乎只跟自己的管家用纸条交流,见了女仆都要绕着走。据说他一生中跟人说过的话加起来还不够你在村口和大妈背后蛐蛐别人聊的多。


但这个人对物理有一种偏执。

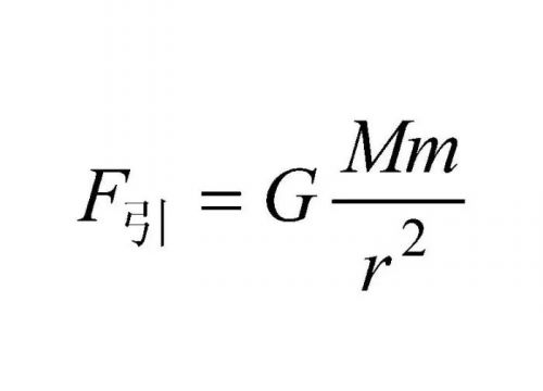
那时候牛顿已经去世几十年了,人虽然走了,但他留下一个万有引力公式:


这个公式看起来挺漂亮,里面却藏着一个大问题——那个叫G的常数,谁也不知道是多少。牛顿自己大概也觉得这辈子没戏了,就没管它,他充分相信后人的智慧,让后人去解决吧。

于是引力定律就成了一个悬案:

你说月亮围着地球转是因为引力,行;

你说苹果掉下来也是因为引力,也行。

但你要问,我面前这两个铅球之间有没有引力?没人能证明。因为它们之间的力太小了,小到什么程度呢?大概是你往桌子上放一根头发丝的力量,再除以一百。

这种力,在当时的仪器面前,就跟不存在一样。

万有引力模拟实验

“孤独患者”卡文迪什不服,“东厂管不了西厂管”,牛顿解决不了的我卡文迪什来解决!

他搞了一个装置,说穿了很简单:一根细铁丝,下面吊着一根木杆,木杆两头各挂一个小铅球。旁边再放两个大铅球。如果大球和小区之间有引力,就会把木杆轻轻拉转一下,连带着把铁丝也扭一下。

卡文迪什实验俯视图

卡文迪什实验剖面图

问题是怎么看见这个“轻轻一转”。

卡文迪什虽然内向话不多,但脑子灵活,他用了一个很贼的办法。他在铁丝上贴了一面小镜子,从远处打一束光过去,反射到对面的尺子上。铁丝转一点,光斑就能跑一大截。这个叫光学放大,说白了就是给那点微小的转动安了一个长长的杠杆,一直捅到几米开外。

卡文迪什实验模拟图

这套装置的灵敏度高得离谱。后来有人算过,它能测出千万分之一牛顿的力,怎么理解这个力呢,大概是你被蚊子腿上沾的一粒灰砸中的力道,别说皮厚的人感觉不到,我这皮薄的人也不会有丝毫察觉。

然后卡文迪什就开始蹲在暗处,用望远镜盯着那个光斑,一看就是好几年。他要排除温度变化、空气对流、甚至门外马车经过带来的震动。换成你,大概第3天就疯了,换成我大概能坚持5天,因为我不打麻将不喝酒,除了钓鱼也很少参加其他活动,同事朋友聚餐我都懒得去……扯远了,继续。

结果还真被他测出来了。

他算出地球的密度大约是水的5.48倍,进而推算出整个地球的重量:大约六十万亿亿吨。这是人类头一回不是靠猜,而是靠实打实的数据,知道自己脚下这颗星球的斤两。

所以卡文迪什被称为“第一个称量地球的人”,就问你服不服?

不过他本人依旧谦逊低调,从不自夸。他那篇论文的标题写的是《关于地球密度的实验》,低调得像在汇报一个无关紧要的小发现。他大概觉得自己只是把一组数据测准了而已,至于什么“万有引力常数第一人”“称量地球的先驱”,那都是后来人替他加的。

这倒很符合他的性格,一个跟管家写纸条沟通的人,大概也不会在乎什么名利。这可能就是人家说的越牛X的人就越低调吧,反正像我这种钓了条大点的鱼都有拎着绕小区几圈的人是理解不了的。

不过话说回来,这个实验最妙的地方,还不在于它算出了地球多重,而在于它证明了一件事:让苹果掉下来的那个力,和让月亮挂在天空的那个力,是同一种东西。

从那时候起,在物理学上,天上和地上,终于被连起来了。

很多人误以为卡文迪什是为了验证万有引力定律才做这个实验,实际上当时学术界早已公认该定律。他最主要的目的其实是“测定地球的密度”,只不过在完成这一目标的过程中,间接成为了测出万有引力常数 G 的第一人。

另外,“氢”元素的发现者也是这位卡文迪什!
Copyright © 2011-2026 视错觉实验室 ( 皖ICP备15002796号 )
返回顶部